![]() |
Термист Термомеханическое упрочнение арматурного проката технология, средства, разработка |
| Главная | О сайте | Стандарты | Технология | Устройства |
| Лаборатория | Библиотека | Глоссарий | Желтые страницы | Обратная связь |
Постановка задачи
Если хорда выбирается наудачу в заданном круге, то какова вероятность того, что ее длина больше радиуса круга?
Решение задачи
Пока выражение «наудачу» не уточнено, задача не имеет определенного ответа. Следующие три возможных предположения с соответствующими тремя различными вероятностями иллюстрируют неопределенность понятия «наудачу», часто встречающуюся в геометрических задачах. Мы не можем гарантировать, что эти результаты должны согласовываться с некоторым физическим процессом, который мог бы быть использован для выбюра случайных хорд. Иначе задача могла бы быть проверена эмпирически.
![]() |
| Рис. 4. |
Пусть радиус круга равен r.
(а). Допустим, что расстояние хорды от центра круга равномерно распределено
между 0 и r. Поскольку правильный шестиугольник со стороной r можно вписать в
круг, для определения искомой вероятности найдем расстояние d стороны этого
шестиугольника от центра и разделим на величину радиуса. Заметим, что d - высота
правильного треугольника со стороной r. Из планиметрии известно, что

Следовательно, искомая вероятность равна
![]()
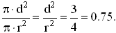
(б). Пусть середина хорды равномерно распределена во внутренности круга. Из
чертежа (рис. 4) видно, что хорда длиннее радиуса, когда середина хорды
находится на расстоянии, меньшем d, от центра. Таким образом, все точки круга
радиуса d, концентрического с исходным кругом, являются геометрическим местом
точек середины хорд. Площадь этого круга, деленная на площадь исходного, равна
![]()
Эта вероятность равна квадрату выражения, полученного в случае (а).
(в). Допустим, что хорда определяется двумя точками на окружности исходного круга. Пусть первая точка попала в A (рис. 4). Для того чтобы хорда была короче радиуса, вторая точка должна попасть на дугу BAC, длина которой есть 1/3 длины окружности. Следовательно, вероятность того, что хорда длиннее радиуса, равна 1 - 1/3 = 2/3.
Публикуется по работе: Пятьдесят занимательных вероятностных задач с решениями. Ф.Мостеллер, перев. с англ., издание второе. М. Наука, 1975, 112 с.
Web-сайт “Термист” (termist.com)
Термомеханическое упрочнение арматурного проката
Отсутствие ссылки на использованный материал является нарушением заповеди "Не укради"
Редактор сайта: Гунькин И.А. (termist.com@gmail.com)