![]() |
Термист Термомеханическое упрочнение арматурного проката технология, средства, разработка |
| Главная | О сайте | Стандарты | Технология | Устройства |
| Лаборатория | Библиотека | Глоссарий | Желтые страницы | Обратная связь |
Постановка задачи
В условиях предыдущей задачи какова вероятность того, что произойдет ровно r совпадений?
Решение задачи
Эта задача родственна задаче "Жадный фальшивомонетчик", в которой мы впервые встретились с законом Пуассона. Однако в задаче о фальшивомонетчике в силу независимости испытаний появление фальшивой монеты было равновероятно на каждом шагу, в настоящей же задаче совпадения для каждой пары не являются независимыми. Например, если n - 1 пар совпали, то необходимо совпадет и n-я пара, так что эти события действительно зависимы. Тем не менее при больших значениях n степень зависимости невелика, так что, казалось бы, вероятность r совпадений в этой задаче должна быть близка к вероятности обнаружения фальшивых монет, задаваемой распределением Пуассона. В конце мы сравним решение такой задачи с ответом, получаемым из закона Пуассона со средним 1.
При решении таких задач оказывается полезным рассмотрение частных случаев, отвечающих небольшим значениям n. При n = 1 совпадение неизбежно. При n = 2 вероятность отсутствия совпадения равна 1/2, вероятность двух совпадений также равняется 1/2. При n = 3 занумеруем карты цифрами 1, 2 и 3 и запишем в таблицу 6 возможных перестановок для верхней колоды при фиксированном порядке (1, 2 ,3) нижней.
| Нижняя колода | 1 | 2 | 3 | Число совпадений |
| Перестановки верхней колоды | 1 | 2 | 3 | 3 |
| 1 | 3 | 2 | 1 | |
| 2 | 1 | 3 | 1 | |
| 2 | 3 | 1 | 0 | |
| 3 | 1 | 2 | 0 | |
| 3 | 2 | 1 | 1 |
Отсюда получаем
| Число совпадений | 0 | 1 | 2 | 3 |
| Вероятность | 2/6 | 3/6 | 0/6 | 1/6 |
Приведем также соответствующую таблицу для n = 4. Легко заметить, что вероятность того, что произойдет n совпадений, равна 1/n!, поскольку только одной из n! перестановок отвечает n совпадений.
| Число совпадений | 0 | 1 | 2 | 3 | 4 |
| n = 1, вероятность | 0 | 1 | |||
| n = 2, вероятность | 1/2 | 0 | 1/2 | ||
| n = 3, вероятность | 2/6 | 3/6 | 0 | 1/6 | |
| n = 4, вероятность | 9/24 | 8/24 | 6/24 | 0 | 1/24 |
Отметим, что математическое ожидание каждого распределения равно 1, как указано в предыдущей задаче.
Пусть P(r/n) обозначает вероятность ровно r совпадений при распределении n
объектов. Эти r совпадений могут быть получены за счет совпадения r
фиксированных объектов и несовпадения остальных. Так, например, вероятность
того, что совпадают именно r первых объектов, равна

Число различных выборов r объектов из n равно
так что

При r = n, как мы знаем, P(n/n) = 1/n!, и мы можем положить P(0/0) = 1.
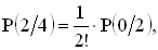
Проверим справедливость соотношения (1) при n = 4, г = 2. Согласно (1)
![]()
а из нашей таблицы видно, что
P(2/4) = 6/24,
P(0/2) = 1/2
и 6/24 = 1/4, что подтверждает (1) в этом частном случае.
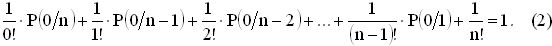
Мы знаем также, что сумма вероятностей по всем возможным числам совпадений
при заданном значении n равна 1, т. е.
P(0/n) + P(1/n) + ... + P(n - 1/n) + P(n/n) = 1.
Используя (1), запишем это соотношение как
![]()
Так как P(n/n) = 1/n!, то отсюда можно последовательно находить значения
P(0/n).

Итак, мы можем найти в принципе значение P(0/n) при любом n, но не
располагаем общей формулой для вычисления P(0/n). Как и в некоторых других
задачах, здесь помогает вычисление последовательных разностей. Подсчитаем P(0/n) - P(0/n - 1)
для различных значений n. Имеем
P(0/1) - P(0/0) = 0 - 1 = -1 = -1/1!,
P(0/2) - P(0/1) = 1/2 - 0 = 1/2 = 1/2!,
P(0/3) - P(0/2) = 2/6 - 1/2 = -1/6 = -1/3!,
P(0/4) - P(0/3) = 9/24 - 2/6 = 1/24 = 1/4!.
Эти выкладки наводят на мысль о том, что искомые разности имеют вид (-l)r/r!,
т. е.

Суммируя эти разности, получаем

Записывая P(0/0) в виде 1/0!, получаем
(3)
Осталось проверить теперь справедливость нашей догадки. Нам надо вычислить
(4)
Не следует терять хладнокровия. при виде этого зловещего выражения. Ведь
сумма в (4) образована слагаемыми вида
где индекс j отвечает множителю, стоящему перед знаком суммы, а индекс i
соответствует отдельным членам этой суммы. Переставим местами слагаемые так,
чтобы сумма i + j была постоянной. Так, для i + j = 3 получим

Умножая на 3!, получаем более знакомое выражение
![]()
которое с помощью биномиальных коэффициентов может быть записано в виде

Но эта сумма есть разложение (x + y)3 при х = -1, y = 1 и, значит,
равна нулю, так как (-1 + 1)3 = 03 = 0. Этот факт имеет
место при каждом значении i + j = r, r = 1, 2, ...., n, так что соответствующие
суммы равны нулю. Лишь при r = 0 получаем единственный член (-1)0/(0!·0!) = 1.
Следовательно, решение (3) удовлетворяет уравнению (2).
Ясно, что других решений у (2) нет. Это может быть доказано методом индукции, так как P(0/n) выражается через P(0/1), P(0/2), ..., P(0/n - 1).
Из (1) и (3), наконец, выводим

Если n - r велико, то выражение в скобках близко к e-1 и
![]()
если только n - r достаточно велико. Итак, действительно, вероятности r
совпадений в нашей задаче близки к пуассоновским
со средним 1. Однако для этой близости необходимо, чтобы разность n - r была
велика, а не только само n, как казалось в начале.
Вероятность того, что нет ни одного совпадения, при больших n стремится к e-1 ≈ 0.368.
Публикуется по работе: Пятьдесят занимательных вероятностных задач с решениями. Ф.Мостеллер, перев. с англ., издание второе. М. Наука, 1975, 112 с.
Web-сайт “Термист” (termist.com)
Термомеханическое упрочнение арматурного проката
Отсутствие ссылки на использованный материал является нарушением заповеди "Не укради"
Редактор сайта: Гунькин И.А. (termist.com@gmail.com)