![]() |
Термист Термомеханическое упрочнение арматурного проката технология, средства, разработка |
| Главная | О сайте | Стандарты | Технология | Устройства |
| Лаборатория | Библиотека | Глоссарий | Желтые страницы | Обратная связь |
Сочетание
из m элементов по n - подмножество мощности n некоторого исходного конечного
множества мощности m. Порядок элементов в подмножестве не имеет значения.
Примечание: Если порядок имеет значение, тогда мы имеем дело с размещениями.
Число сочетаний из m элементов по n, обозначаемое
или
равно
(1)
Еще одно наименование для выражения (1) - биноминальный коэффициент. Рассматриваемое понятие широко используется в задачах комбинаторики.
Пример 1: Сколькими способами можно разместить в пятибуквенном слове 2 буквы a? Ответ на такой вопрос можно дать, пересчитав возможные варианты "на пальцах":
| ***aa | **a*a | *a**a | a***a | **aa* |
| *a*a* | a**a* | *aa** | a*a** | aa*** |
Использование (1) дает (m = 5 - длина слова, n = 2 -
количество элементов)

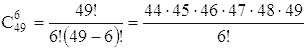
Пример 2: Классическая задача, состоящая в угадывании 6 значений из 49 возможных.
Простейший "набор" - одно значение. Таких наборов может быть 49.
Из двух значений можно подготовить 1 176 наборов: {1,2}; {1,3}; ...; {1,48}; {1,49}; {2,3}; {2,4}; ...; {2,48}; {2,49}; ...; {48,49}.
Из трех значений - 18 424 вариантов: {1,2,3}; {1,2,4}; ...; {1,2,49}; ...; {47,48,49}.
| Количество значений | Формула для расчета | Количество вариантов |
| 1 |
|
49 |
| 2 |
![]() |
1 176 |
| 3 |
|
18 424 |
| 4 |
|
21 1876 |
| 5 |
![]() |
1 906 884 |
| 6 |
![]() |
13 983 816 |
Сочетание - это класс эквивалентности размещений из m
элементов по n, при этом два размещения объема n из данного m-элементного
множества считаются эквивалентными, если они состоят из одних и тех же
элементов, взятых одно и то же число раз. Класс эквивалентности размещений с
повторениями называется сочетанием с повторениями. Число сочетаний с
повторениями из m по n равно
.
Пример 3: Обычно, при использовании лототронов (см.
предыдущий пример) после вытягивания из набора очередного "лота" (шарика, фанта,
свернутой записки и т.д.), этот лот удаляется из оставшегося набора. Если же его
вернуть в исходный набор, тогда мы и получим "сочетание с повторением".
Возвращаясь к предыдущей задаче "6 из 49", за счет повторений мы можем получить,
например, вариант {5, 8, 21, 24, 24, 35}. Всего возможно
=
25 827 165 вариантов (к 13 983 816 вариантов без повторений добавляются
11 843 349 повторяющихся вариантов).
Опубликовано по материалам: Математический энциклопедический словарь. / Гл. ред. Ю.В.Прохоров; Ред. кол.: С.И.Адян, Н.С.Бахвалов, В.И.Битюцков и др. - М.: Сов. энциклопедия, 1988. - 847 с. стр. 555.
Web-сайт “Термист” (termist.com)
Термомеханическое упрочнение арматурного проката
Отсутствие ссылки на использованный материал является нарушением заповеди "Не укради"
Редактор сайта: Гунькин И.А. (termist.com@gmail.com)