![]() |
Термист Термомеханическое упрочнение арматурного проката технология, средства, разработка |
| Главная | О сайте | Стандарты | Технология | Устройства |
| Лаборатория | Библиотека | Глоссарий | Желтые страницы | Обратная связь |
Важный класс специальных функций, являющихся решениями
дифференциального уравнения
Бесселя
z2y'' + zy' + (z2-v2)y = 0,
(1)
где v - произвольный, вообще говоря, комплексный параметр, z -
независимое переменное (также комплексное). К этому уравнению приводят многие
краевые задачи математической физики,
связанные с вопросами равновесия (упругого, теплового, электрического) и
установившихся колебаний тел цилиндрической формы. Решения, выражаемые рядом
,
где Γ(x) - гамма-функция, при всех v определяют
цилиндрическую функцию первого рода с индексом v.
При целом индексе v = n эта функция определена всюду на комплексной плоскости
переменного z, при любом v - на плоскости с разрезом (-∞, 0); в частности, Jv(x)
определена для всех действительных x, 0 ≤ x < +∞.
Такие функции часто называют также Функциями Бесселя.
Цилиндрическая функция нулевого индекса имеет вид
.
Если v = -n - целое отрицательное, то
J-n(z) = (-1)n·Jn(z),
т. е. отличается от Jn(z) только постоянным множителем (-1)n.
Цилиндрическая
функция первого рода
с цолуцелым индексом v = n+1/2 сводится к элементарным функциям, например,

Функции Jv(z) называют также
функциями Бесселя. Однако эти функции и
уравнение (1)
были известны ещё Л.Эйлеру, который пришёл к ним при изучении колебаний мембраны
в 1766, т. е. почти за 50 лет до работ Ф.Бесселя; функция J0(x) встречается
ещё раньше в работе Д.Бернулли о колебаниях тяжёлой цепи (1738), а функция с
индексом 1/3 - в письме Я.Бернулли к Г.Лейбницу (1703). Поведение некоторых Цилиндрических
функций первого рода для действительных x см. на рисунке.
Если v не является целым числом, то общее решение уравнения (1) имеет вид
y = C1Jv(z) + C2J-v(z),
(2)
где C1 и C2 - произвольные постоянные. Если же v = n - целое, то
Jn(z) и J-n(z),
как было указано, линейно зависимые, и их линейная комбинация (2) уже не
является общим решением уравнения (1). Поэтому, наряду с
цилиндрической функцией первого рода,
вводятся также Ц. ф. второго рода, которые можно определить соотношением
;
эти функции называют также функциями Вебера или
функциями Неймана (с обозначением Nv(z)).
При помощи этих функций общее решение уравнения (1)
записывается в виде
y = C1Jv(z) + C2Yv(z)
как при целом, так и нецелом v.
При решении краевых задач для внешних
неограниченных областей, содержащих бесконечно удалённую точку, целесообразно
применять цилиндрические функции третьего рода, или
функции Ганкеля:
Hv(1)(z) = Jv(z) + iNv(z),
Hv(2)(z) = Jv(z) - iNv(z).
Эти функции имеют наиболее простое асимптотическое поведение в бесконечности при z→∞, они также, подобно Jv(z) и Yv(z), являются регулярными аналитическими функциями во всей плоскости z с разрезом (-∞, 0).
Линейная комбинация
y = C1Hv(1)(z) + C2Hv(2)(z)
также даёт общее решение уравнения (1).
Наряду с указанными к функциям Бесселя относят также так называемые
модифицированные
цилиндрические функции

Функцию Kv(z) называют также
функцией Макдональда. Модифицированные
функции Бесселя удовлетворяют дифференциальному уравнению
x2y'' + xy' - (x2 + v2)·y = 0,
общее решение которого при всех v представимо в виде линейной комбинации
y = C1Iv(x) + C2Kv(x).
С модифицированными функциями Бесселя тесно связаны функции Томсона (Кельвина) ber x, bei x
и ker x, kei x, определяемые равенствами
ber x + i·bei x = I0(√i·x),
ker x + i·kei x = K0(√i·x).
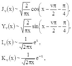
Важную роль играют асимптотические равенства для бесселевых функций, выражающие их
поведение при z→+∞:

из которых, в частности, вытекает, что цилиндрические функции Jv(x)
и Yv(x) имеют бесконечно много действительных нулей,
расположенных так, что вдали от начала координат они близки к нулям функции
cos(x-vπ/2-π/4) и sin(x-vπ/2-π/4) соответственно.
Цилиндрические функции изучены весьма детально как в действительной, так и в комплексной областях. Имеются многочисленные таблицы функций Бесселя.
Литература:
Справочник по специальным функциям, пер. с англ., М., 1979. Е. Д. Соломенцев
См. также:
Нули функции Бесселя
Функции Бесселя в
математическом пакете MatLab
Опубликовано по материалам: Математический энциклопедический словарь. / Гл. ред. Ю.В.Прохоров; Ред. кол.: С.И.Адян, Н.С.Бахвалов, В.И.Битюцков и др. - М.: Сов. энциклопедия, 1988. - 847 с. стр. 625 - 626.
Web-сайт “Термист” (termist.com)
Термомеханическое упрочнение арматурного проката
Отсутствие ссылки на использованный материал является нарушением заповеди "Не укради"
Редактор сайта: Гунькин И.А. (termist.com@gmail.com)