![]() |
Термист Термомеханическое упрочнение арматурного проката технология, средства, разработка |
| Главная | О сайте | Стандарты | Технология | Устройства |
| Лаборатория | Библиотека | Глоссарий | Желтые страницы | Обратная связь |
Главная >> Стандарты >> Краткая характеристика ДСТУ 3760:2006
По соглашению изготовителя с потребителем приемку арматурного проката проводят по характеристическим величинам.
Обеспеченность показателя механических свойств в каждой партии-плавке
должна быть не менее 0.95 для σт и 0.90 для σв/σт,
δ5 и δmax.
Примечания:
а) В
Приложении Д стандарта разговор идет только об обеспеченности в 0.95. В данном
документе автором внесено изменение по обеспеченности в 0.90 для σв/σт,
δ5 и δmax;
б) В пункте 6.1.8 приведены требования к обеспеченности показателей σт,
σв/σт,
δ5 и δmax, а в пункте 10.9.2 - об испытаниях с
определением σт, σв и δ5. Автор рассматривает
требования согласно пункта 6.1.8.
Для приемки по характеристическим величинам поставляемая партия проката должна быть разделена на контрольные партии максимальной массой 70 т. Каждая контрольная партия должна состоять из проката одной плавки-ковша и одного номинального диаметра.
От каждой контрольной партии отбирают:
- два образца от различных прутков или мотков - для определения химического
состава готового проката;
- пятнадцать образцов от различных прутков или мотков - для испытаний на разрыв;
- пятнадцать образцов от различных прутков или мотков - для испытаний на изгиб
или на изгиб с разгибом.
(Контроль проката по качественным характеристикам)
При анализе химического состава оба образца, отобранные от готового проката, должны удовлетворять требованиям стандарта.
(Контроль проката по количественным характеристикам)
Пятнадцать образцов от различных прутков или мотков
контрольной партии испытывают на разрыв с определением
- предела текучести σт,
- значения отношения временного сопротивления к пределу текучести σв/σт,
- относительного удлинения в месте разрыва на пятикратной базе δ5,
- полного относительного удлинения при максимальной нагрузке δmax
(если необходимо для данного класса).
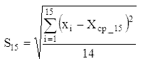
По каждому показателю определяют:
- значения xi для каждого из 15 контрольных образцов (n = 15);
- среднее арифметическое значение Xср_15 по результатам контроля 15
контрольных образцов:
;
- среднеквадратическое отклонение S15 по результатам контроля 15
контрольных образцов:
.
Партия удовлетворяет требованиям стандарта, если для всех
контролируемых параметров 15-ти образцов индекс работоспособности сpk_15

удовлетворяет требованиям:
сpk_15 ≥ 2.33 для значений σт и
сpk_15 ≥ 1.87 для значений σв/σт,
δ5 и δmax,
где 2.33 - значение коэффициента приемлемости для n = 15 (р = 0.95) при
вероятности 90 % (1 - α = 0.90),
1.87 - значение коэффициента приемлемости для n = 15 (р = 0.90) при
вероятности 90 % (1 - α = 0.90),
Xбр - требуемое значение контролируемого показателя (Таблица
3).
Партия бракуется, если:
индекс работоспособности сpk_15 для значений σт окажется
меньше 2.00 или
по какому-либо показателю для значений σв/σт,
δ5 и δmax индекс
работоспособности сpk_15 окажется меньше 1.87.
Если индекс работоспособности для значений σт
окажется в диапазоне 2.00 ≤ сpk_15 < 2.33, то необходимо отобрать
дополнительно 45 образцов, и для выборки n = 60 определить среднее Xср_60,
среднеквадратичное отклонение S60 и индекс работоспособности сpk_60:

Партия удовлетворяет требованиям стандарта, если
по 60 образцам (15 основных и 45 дополнительных) для всех контролируемых
показателей выполняется условие
сpk_60 ≥ 1.93 для значений σт и
сpk_60 ≥ 1.53 для значений σв/σт,
δ5 и δmax,
где 1.93 - значение коэффициента приемлемости для n = 60 (р = 0.95) при
вероятности 90 % (1 - α = 0.90),
1.53 - значение коэффициента приемлемости для n = 60 (р = 0.90) при
вероятности 90 % (1 - α = 0.90).
Результаты контроля на 60 образцах (15 основных и 45 дополнительных) являются окончательными.
(Контроль проката по качественным характеристикам)
При испытании 15 образцов контрольной партии на способность к изгибу или к изгибу с разгибом партия считается удовлетворяющей требованию стандарта, если требования выполнены для всех 15 образцов.
Партия бракуется, если количество неудовлетворительных результатов превышает 2.
Если количество неудовлетворительных результатов при испытании 15 образцов оказалось 1 или 2, то отбирают и испытывают дополнительные 45 образцов. Партия удовлетворяет требованиям стандарта, если количество неудовлетворительных результатов при испытании 60 образцов не превышает 2.
Партию бракуют, если количество неудовлетворительных результатов при испытании 60 образцов составляет 3 или больше.
Краткая характеристика ДСТУ 3760:2006
1. Классификация. Основные параметры и размеры.
2. Химический состав арматурной стали
3. Механические свойства арматурного проката
• Основные положения
• Требования к статистическим показателям
прочностных свойств
• Свариваемость, коррозионная стойкость,
усталостная прочность, реологические свойства, прочие требования
Web-сайт “Термист” (termist.com)
Термомеханическое упрочнение арматурного проката
Отсутствие ссылки на использованный материал является нарушением заповеди "Не укради"
Редактор сайта: Гунькин И.А. (termist.com@gmail.com)