Переход на главную страницу сайта “Термист” Термист
Термомеханическое упрочнение арматурного проката
технология, средства, разработка
Главная О сайте Стандарты Технология Устройства
Лаборатория Библиотека Глоссарий Желтые страницы Обратная связь

Мартенситное превращение

Из учебника А.П.Гуляева "Металловедение"

Продолжение (<< См. начало <<)

 

Рассмотрим подробнее некоторые вопросы теории мартенситного превращения.

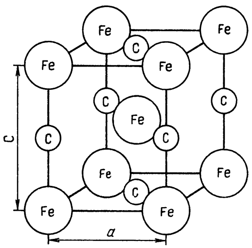
Многочисленными рентгеноструктурными исследованиями было установлено, что тетрагональность решетки мартенсита сталей увеличивается с ростом содержания углерода по зависимости c/a = 1 + 0.046p (p - массовое содержание углерода) при этом параметр c растет, параметр a уменьшается (см. рис. 198). Тетрагональность решетки мартенсита объясняется искажением решетки за счет внедрения атомов углерода в ее междоузлия (рис. 202).

Зависимость количества остаточного аустснита от содержания углерода Объемнодентрированная тетрагональная решетка углеродистого мартенсита

Рис. 201. Зависимость количества остаточного аустснита от содержания углерода (заштрихованная полоса учитывает возможность разных условий охлаждения в интервале Мн - Мк)

Рис. 202. Объемнодентрированная тетрагональная решетка углеродистого мартенсита. Все октаэдрические междоузлия по оси «c» || [001] заняты атомами углерода. В реальном случае, даже при максимальном содержании углерода в мартенсите (~2 %), один атом углерода приходится на четыре элементарные ячейки мартенсита

В железных сплавах, не содержащих углерод (например Fe - Ni) мартенсит имеет о.ц.к. решетку. В сплавах Fe - Mn, Fe - Ni - Cr, а также в сталях Fe - Mn - C возможно образование мартенсита с гексагональной решеткой (ε-мартенсита). В этих же сталях был обнаружен (Б.И. Николин) ε'-мартенсит со сложной решеткой с параметрами a = 0.253 нм и c = 3.744 нм. Такие структуры были названы длиннопериодными или многослойными. В цветных сплавах (на основе Ti, Cu, Au и др.) возможно протекание мартенситных превращений с различными типами кристаллоструктурных перестроек, при этом мартенситные фазы могут иметь структуру г.ц.к.; гексагональную, ромбическую и др. В отличие от железных, в цветных сплавов фаза, из которой образуется мартенсит, называется не аустенитном, а исходной, матричной или высокотемпературной, термин же мартенсит сохраняется для всех типов сплавов.

Многочисленными металлографическими исследованиями, проведенными в 30 - 50-х годах, было установлено, что в закаленных углеродистых сталях кристаллы мартенсита имеют форму пластин или линз, а пересечение плоскости шлифа пластинами мартенсита придает последним вид игл (рис. 203). Различали крупноигольчатый мартенсит, который образуется в больших зернах аустенитами, как правило, в сталях с относительно низкой температурой Мн, и мелкоигольчатый мартенсит, образующийся в мелких аустенитных зернах. При очень малых размерах мартенситных игл, когда они практически неразличимы в световом микроскопе, мартенсит иногда называли неправильными с точки зрения терминологии названиями - бесструктурным, массивным.

Структура крупноигольчатого мартенсита в сталях массового назначения Структура мелкоигольчатого мартенсита в сталях массового назначения

Рис. 203. Структура мартенсита в сталях массового назначения:
а - крупноигольчатый; б - мелкоигольчатый, × 500

Применение в начале 60-х годов метода дифракционной электронной микроскопии к изучению строения мартенсита в различных сплавах и сталях совместно с методом световой микроскопии позволило установить, что мартенситные кристаллы имеют сложное внутреннее строение. Были выделены два основных структурных типа мартенсита: пластинчатый (двойниковый) и реечный (дислокационный).

Пластинчатый мартенсит образуется в углеродистых и легированных сталях и в сплавах с относительно низкой температурой Мн (ниже 200 °С). Характерное расположение кристаллов пластинчатого мартенсита, обнаруживаемое в световом микроскопе - выстраивание в виде «ферм» или «зигзагов» (рис. 204, б, в). Мартенситные пластины, образовавшиеся в первую очередь, могут «пройти» через все зерно аустенита, а образовавшиеся при более низкой температуре располагаются между ними. Иногда в сечении пластины можно различить среднюю линию повышенной травимости - так называемый мидриб (рис. 204, а). Мидриб представляет собой скопление параллельных двойников по плоскостям {112}. Толщина двойников колеблется в зависимости от состава и условий образования мартенсита в пределах 5 - 30 нм. Кристаллы мартенсита с мидрибом называются частично двойникованными. С понижением температуры Мн ширина мидриба увеличивается и при низких температурах образования кристаллы мартенсита становятся полностью двойникованными (рис. 204, г - е). Полностью двойникованные мартенситные кристаллы обычно уже частично двойникованных и выглядят металлографически как тонкие длинные пластины с параллельными гранями (рис. 204, г). В углеродистых сталях (0.5 - 1.2 % C) частично двойникованные пластины мартенсита обычно выглядят как крупноигольчатая структурная составляющая (рис. 203,а).

Структура частично двойникованного пластинчатого мартенсита Структура полностью двойникованного пластинчатого мартенсита
Структура полностью двойникованного пластинчатого мартенсита Структура полностью двойникованного пластинчатого мартенсита
Полностью двойникованный мартенсит (просвечивающая электронная микроскопия, × 20 000) Полностью двойникованный мартенсит (просвечивающая электронная микроскопия, × 20 000)

Рис. 204. Структура пластинчатого (двойникового) мартенсита:
а - частично двойникованный, × 300; б - г - полностью двойникованный, × 400; д, е - полностью двойникованный мартенсит (просвечивающая электронная микроскопия, × 20 000)

В мало- и среднеуглеродистых сталях, в высоколегированных сплавах железа Мн > 100 °С мартенсит образуется в виде кристаллов-реек, вытянутых вдоль направления <111>. Толщина реек 0.2 - 2 мкм, а типичные отношения размеров рейки 1:7:30, т. е. длина превышает ширину в 4 - 5 раз. Мартенситные кристаллы-рейки обычно параллельны друг другу и образуют пакеты - скопления параллельных реек (рис. 205, б). Рейки в пакетах разделены тонкими (10 - 20 нм) прослойками остаточного аустенита, а иногда находятся в двойниковом относительно друг друга соответствии. Мартенситные рейки, образовавшиеся при высокой температуре, имеют дислокационное строение; плотность дислокаций 1011 - 1012 см-2. При более низких температурах Мн рейки могут содержать короткие ряды двойников. В малоуглеродистых сталях с высокой температурой Мн и малой долей остаточного аустенита реечный мартенсит в световом микроскопе выглядит как мелкоигольчатая структура (см. рис. 203, б). В железных сплавах (например Fe - Mi, Fe - Mo) с большей долей остаточного аустенита реечный мартенсит наблюдается в виде групп кристаллов, образующих неправильные, тупоугольные соединения, или выстроенных в ряды (рис. 205, а).

Структура реечного (пакетного) мартенсита (железоникелевыи сплав, световая микроскопия, × 400) Структура реечного (пакетного) мартенсита (железоникелевыи сплав, просвечивающая электронная микроскопия, × 16 000)

Рис. 206. Структура реечного (пакетного) мартенсита (железоникелевыи сплав):
а - световая микроскопия, × 400; б - просвечивающая электронная микроскопия, × 16 000

 

>> Читать дальше >>

 



Использована публикация:
Гуляев А.П. Металловедение. Учебник для втузов. 6-е изд., перераб. и доп. М.: Металлургия, 1986. 544 с.
стр. *** - ***.

К началу страницы


Web-сайт “Термист” (termist.com)
Термомеханическое упрочнение арматурного проката

Отсутствие ссылки на использованный материал является нарушением заповеди "Не укради"

Редактор сайта: Гунькин И.А. (termist.com@gmail.com)